Graph y = x^2 4x 1 on your paper and find the vertex wiltseross wiltseross 2 weeks ago Mathematics High School answered Graph y = x^2 4x 1 on your paper and find the vertex 2 See answers notsogood002 notsogood002 Answer the vertex is (2,3) Stepbystep explanation i used a graphing calculatorGraph a parabola by finding the vertex and using the line of symmetry and the yintercept The first step is to set y equal to zero After that, we need to get the Xs by themselves, so we add 1 on both sides, like so 0=x^24x1 color(red)(1)color (white)()color(red)(1) Now the equation is 1=x^24x We need to find a value that will make x^24x factorable I do this by taking 4x and dividing 4 by 2
Ch 5 Notes Ppt Video Online Download
Y x2-4x+1 vertex
Y x2-4x+1 vertex-Parabola, Finding the Vertex 42 Find the Vertex of y = x 24x1 Parabolas have a highest or a lowest point called the Vertex Our parabola opens up and accordingly has a lowest point (AKA absolute minimum) We know this even before plotting "y" because the coefficient of the first term, 1 , is positive (greater than zero)Q What is the constant that should be added to the expression to complete the square x 2 16x Q What is the vertex of y=x 2 4x3?



Content Transformations Of The Parabola
y = x² 4x 12 When y = 0 x² 4x 12 = 0 x² 4x 12 = 0 (x 2)(x 6) = 0 x = 2 or x = 6 The xintercepts are 2 and 6 y = (x² 4x) 12 y = (x² Find the x and y intercept and the vertex y = x 2 4x 1 I have a test tomorrow with a few sample questions that are expected to be on the test that I do not know how to properly do 1)Find the slope intercept equation of the line passing through the intersection of the lines 2x4y=1 & 3x4y=4 and parallelConvert to vertex form y=2x^26x1 and y=x^24x1 5 Educator answers Math Latest answer posted at PM
3 2 Answers #1 9290 3 This is one way of doing it We want to get the function into vertex form y = x 2 4x 2 Subtract 2 from both sides y 2 = x 2 4x Add (4/2) 2 , or 4, to both sides y 2 4 = x 2 4x 4 Now that the right hand side is a perfect square trinomial, factor itThe graph of a quadratic function is called a Q The quadratic parent function Q What is the axis of symmetry of the given function?Step 1 use the (known) coordinates of the vertex, ( h, k), to write the parabola 's equation in the form y = a ( x − h) 2 k the problem now only consists of having to find the value of the coefficient a Step 2 find the value of the coefficient a by substituting the coordinates of point P into the equation written in step 1 and solving
I have an equation right here it's a second degree equation it's a quadratic and I know it's graph is going to be a parabola this was a review that means it looks something like this or it looks something like that because the coefficient on the x squared term here is positive and it's going to be an upwardopening parabola and I am curious about the vertex of this parabola and if I haveF (x) = x 2 4x 12 Q What is the yintercept of Q Write y = x 2 4x 1 in vertex form Write y=x^24x1 in vertex form 1 See answer tyty6710 is waiting for your help Add your answer and earn points marabu78marabu78 Answer y= (x2)² −5 Stepbystep explanation The way I got this answer is by completing the square



Como Encontrar El Vertice De Una Ecuacion Cuadratica



Http Www Manhassetschools Org Cms Lib8 Ny Centricity Domain 710 Aim 61 key pd 9 Pdf
How to solve for vertex form y = x^2 4x – 1 Answers 2 Get Other questions on the subject Mathematics Mathematics, 1330, mbatton879 In the coordinate plan (6,9) b (3,9) c (3,3) def is shown in the coordinate plan below Answers 1 continueX^28x28y124=0 vertex (4,5) focus (0,7) directrix y=12 2) write an equation of a Math Write an equation in standard form for each parabolaSolution Can You Pls Help Me 3 Y X 2 4x Graph This Original Function In Its Entire Domain But Coloring Green That Portion Of The Graph Over The Limited Domain X Gt 2



Vertex Of A Parabola



How Do You Find The Vertex Of F X 2x 2 4x 6 Socratic
Find the vertex of each parabola y=x^24x2 y=46x3x^2 y=2x^8x13 Answers 3 Get Other questions on the subject Mathematics Mathematics, 1349, cpalabamagirl2595 23) 84% of a contractor's jobs involves electrical work 75% of aTo find the x intercepts find the zeros of the equation y=x^22x1 = (x1)^2 hence the two intercepts are (1,0), (1,0) The vertex is located when the derivative of the equation is zero, y'=0 y'=2x2 y'=0=2x2 => 2x=2 or x =1 The vertex is aWhat is the vertex of the parabola y=2 (x3) 2 4 If given the equation y = 3 (x 5) 2 4, what is the vertex of the parabola?



1



Quadratics Graphing Parabolas Sparknotes
To find the y value, just take the value of the constant, and don't change any signs; Therefore x=2 at the vertex Plug that into the equation y=x^24x12 and solve for y I know this wont work for every question of this type but it might save some time in this particular question • Comment Sam Kinsman Yes, that works Philip!The coordinates of the vertex of the parabola (x 1)^(2) = 9(y 2) are The vertex of the parabola (y2)^(2) = 16(x1) is Find the vertex, focus, directrix and length of the latus rectum of the parabola y^2 4y2x8=0



Graph Of A Quadratic Function



Ch 5 Notes Ppt Video Online Download
Figure \(\PageIndex{4}\) Graph of a parabola showing where the \(x\) and \(y\) intercepts, vertex, and axis of symmetry are for the function \(y=x^24x3\) The standard form of a quadratic function presents the function in the form \f(x)=a(x−h)^2k\ where \((h, k)\) is the vertexConsider the quadratic function y = x^2 4x 1 (a) Using your calculator to help generate a table, graph this parabola on the grid given Show a table of values that you use to create the plot (b) State the range of this function (c) Over what domain interval is the function increasing?More y = a (xh)^2 k is the vertex form equation Now expand the square and simplify You should get y = a (x^2 2hx h^2) k Multiply by the coefficient of a and get y = ax^2 2ahx ah^2 k This is standard form of a quadratic equation, with the normal a, b and c in ax^2 bx c equaling a, 2ah and ah^2 k, respectively



Characteristics Of Parabolas College Algebra



Answered Find The Coordinates Of The Vertex Of Bartleby
How To Find The Vertex Of A Parabola Method 1 Use Vertex Form One way to understand the vertex is to see the quadratic function expressed in vertex form The vertex form of a quadratic function can be expressed as Vertex Form ƒ(x) = a(x−h) 2 k Where the point (h, k) is the vertex This equation makes sense if you think about itFind the radius and center of curvature of the parabola y=x^2 4x 4 at any point (x,y) on the curvedraw the circle of curature math help!To find the vertex Complete the square to write equation in standard form y=x^24x5 y= (x^24x4)45 y= (x2)^29 This is an equation of a parabola that opens upward Its standard (vertex) formy= (xh)^2k, (h,k)= (x,y) coordinates of the vertex vertex (2,9) axis of symmetry x=2



G R A P H Y X 2 4 X Zonealarm Results



Orcca Completing The Square
since this is a parabola with x being quadratic and y being linear then we'll have y = x² 4x 1 multiplying both sides of the equation with 1 y = x² 4x 1 transposing 1 to the left side y 1 = x² 4x or x² 4x = y 1 complete the square for x by adding 4 to both sides of the equation x² 4x 4 = y 1 4Find the Vertex y=x^24x1 y = x2 − 4x 1 y = x 2 4 x 1 Rewrite the equation in vertex form Tap for more steps Complete the square for x 2 − 4 x 1 x 2 4 x 1 Tap for more steps Use the form a x 2 b x c a x 2 b x c, to find the valuesConverting by Finding the Vertex 1 Find the xvalue of the vertex by using 2 Input the xvalue of the vertex back into the quadratic to find the yvalue of the vertex 3 Input the vertex into the h and k values of the vertex form, which is y = a(x h)2 k 4



5 2 Quadratic Functions Mathematics Libretexts



3 Vertex Form
1) sketch the graph of each of the following, given the vertex, axis of symmetry and intercepts (a) y=x^24x5 (b) y=2x^26x3 (1B) use long didvision to find the quotient Q(x) and the remainder read moreSubtract y from both sides Subtract y from both sides x^ {2}4x1y=0 x 2 − 4 x 1 − y = 0 This equation is in standard form ax^ {2}bxc=0 Substitute 1 for a, 4 for b, and 1y for c in the quadratic formula, \frac {b±\sqrt {b^ {2}4ac}} {2a} This equation isQ Write y = x 2 4x 1 in vertex



Y X 2 4x 32 Axis Of Symmetry 2 Vertex 2 36 X Intercepts 4 0 8 0 How Dose The Axis Of Symmetry Relate To Enotes Com



T27he0ibgpgvlm
F(x) is a quadratic function such that f(1) = 3 and f(5) = 3 Find the x coordinate of the vertex of the graph of f Math$$\begin{align} y = x^2 4x 1 \end{align} $$ We need to wtrite the parabola into vertex form {eq}y=a(xd)^2e {/eq}, where {eq}e = c\dfrac{b^2}{4a}\text{ and } d=\dfrac{b}{2a} {/eq} algebra determine the vertex for the function y=2x^25x3 for y = ax^2 bx c, the x value of the vertex is b/ (2a) sub that x into your equation to find the y Another way is to complete the square so for yours, x = 5/4 etc a third way, if you know Calculus, asked by Shay on Math



Understand How The Graph Of A Parabola Is Related To Its Quadratic Function College Algebra



Como Encontrar El Vertice De Una Ecuacion Cuadratica
Lesson 3 Find the equation of our parabola when we are givenConvert to vertex form y=2x^26x1 and y=x^24x1 5 Educator answers Math Latest answer posted at 433 AM `y=2x^24x3` Find the vertex and intercepts 2 Educator answersParabola, Finding the Vertex 21 Find the Vertex of y = x 2 4x1 Parabolas have a highest or a lowest point called the Vertex Our parabola opens up and accordingly has a lowest point (AKA absolute minimum) We know this even before plotting "y" because the coefficient of the first term, 1 , is positive (greater than zero)



What Are The Coordinates Of The Vertex For F X X 4x 10 Quora



4 7 Write In Vertex Form
Vertex it the minimum point of the graph It is located where x = 1 and y = 8, see the graph We can still get the answer without the graph just looking at the function For a function in the form f(x) = a(x k)^2 h vertex is (k, h) k is the number next to x in the paranthesis and h is the number outside of the paranthesis to the rightParabolas (This section created by Jack Sarfaty) Objectives Lesson 1 Find the standard form of a quadratic function, and then find the vertex, line of symmetry, and maximum or minimum value for the defined quadratic function;The vertex is at (1, –3), and the only intercept is at (0, –4) This last exercise illustrates one way you can cut down a bit on your work If you solve for the vertex first, then you can easily tell if you need to continue on and look for the x intercepts, or if you can go straight on to plotting some points and drawing the graph



Example 4 Write A Quadratic Function In Vertex Form Write In Vertex Form Then Identify The Vertex X 2x 2 10x 22 Y Solution X 2x 2 10x 22 Y Write Ppt Download



Quadratic Functions
Lesson 2 Find the vertex, focus, and directrix, and draw a graph of a parabola, given its equation;Answer by mathnuts (1) ( Show Source ) You can put this solution on YOUR website! 1) what are the vertex, focus, and directrix of the parabola with the given equation?



2 02 Quadratic Equations



Converting A Quadratic Function From Standard Form To Vertex Form Completing The Square Youtube
(Last Updated On ) Problem Statement ECE Board April 1999 Find the coordinates of the vertex of the parabola y= x^2–4x1 by making use of the fact that at the vertex, the slope of the tangent is zeroJust leave it alone Now you have all you need to create a coordinate pair (2, − 3) is the vertex, and lest's just confirm that by graphing the original equation graph {y=x^24x1} And the vertex Since you have a MONIC polynomial (leading coefficient, of x^2 is 1), A=1 in the formula above The beauty of writing a quadratic or parabola this way, is that the vertex (the minimum y value if A>0;



Www Cusd80 Com Cms Lib Az Centricity Domain 4239 Algebra Ii Semester 1 Final Review Part 1 Pdf



Http Teachers Stjohns K12 Fl Us Wp Content Blogs Dir 1025 Files 15 10 Review Unit 3 Part 2 Pdf
Write y = x24x−1 y = x 2 4 x − 1 in vertex form Finding the Vertex Form The required equation for an updown facing parabola is 4p(y−k) = (x−h)2 4 p (y − k) = (x − h) 2 and it has vertex (h,k)Take a look at an equation and get it into standard form, then we identify its vertex Take a look at an equation and get it into standard form, then we identify its vertexCalculadoras gratuitas passo a passo para álgebra, trigonometria e cálculo



Vertex Axis Of Symmetry Of A Parabola Video Khan Academy



What Is The The Vertex Of Y X 2 4x Socratic
1 y = x^2 4x 5 = x^2 4x 4 4 5 = (x^2 4x 4) 4 5 y = (x2)^2 9 Here, the vertex is at (2, 9) 2 x = 2 (the vertical line that goes through the vertex) 3 The graph of this function is called a parabolaVertexf(x)=y=x^{2}4x1 en Related Symbolab blog posts Practice, practice, practice Math can be an intimidating subject Each new topic we learn has symbols and problems we have never seen Weekly Subscription $199 USD per week until cancelled Monthly Subscription $699 USD per month until cancelled Annual Subscription $2999 USDAlgebra Find the Vertex Form y=x^24x1 y = −x2 4x − 1 y = x 2 4 x 1 Complete the square for −x2 4x−1 x 2 4 x 1 Tap for more steps Use the form a x 2 b x c a x 2 b x c, to find the values of a a, b b, and c c a = − 1, b = 4, c = − 1 a = 1, b = 4, c = 1 Consider the vertex form of a parabola



Learn How To Convert To Vertex Form By Completing The Square And Then Graph Y X 2 4x 7 Youtube



Q Tbn And9gcspejeoqx Coispmbvlkm U Yi5kplsnsrq7lplje49qi5q0wck Usqp Cau
Or maximum y when A is negative) occurs at the point (h,k) in the xyplaneThis works whenever we know the roots of an equationVertexf(x)=y=x^{2}4x1 he Related Symbolab blog posts Practice, practice, practice Math can be an intimidating subject Each new topic we learn has symbols and problems we have never seen The unknowing



What Is The Vertex Of Y 2x 2 4x 12 Socratic



Find The Area Of The Region Bounded By The Parabola Y 2 4x The X Axis And The Lines X 1 And X 4 Sarthaks Econnect Largest Online Education Community



Graphing Parabolas Using The Vertex Axis Of Symmetry



Graphing Parabolas



Y X2 4x 6 Math Homework Answers



Quadratic Function



Identify The Vertex Of Y X2 4x 5 Brainly Com



Solving Quadratic Equations By Graphing Examples



Quadratic Function Parabola



Consider The Parabola Whose Equation Is Y X 2 4x And The L



Learn About Properties Of Quadratic Functions Caddell Prep Online



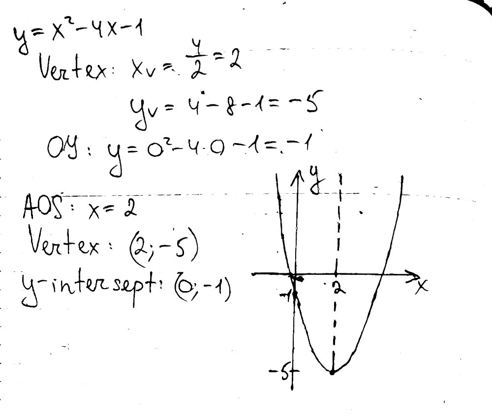
27 Graph Y X2 4x 1 Aos Vertex Y Intercept Gauthmath



Solution Find The Coordinates Of The Vertex Of The Parabola



Identify The Vertex Of The Parabola Y X2 4x 3 Brainly Ph



Solving Quadratic Equations By Graphing Ppt Video Online Download



Practice 1 2 Graphing In Vertex Form And Intercept Form



Answered A Quadratic Function F Is Given F X Bartleby



How To Draw Y 2 X 2



Plot A Graph For The Equation Y X 2 4x 1



Graph The Parabola Y X 2 4x 1 Youtube



Graphing Quadratic Functions



Quadratic Functions



The Standard Form Of The Equation Of A Parabola Is Y X 2 4x 22 What Is The Vertex Form Of The Brainly Com



Given Function F X X2 4x 5 Determine The Vertex Axis Of Symmetry Calculate Y Intercept Find Additional Point On Graph Graph Function Submit Enotes Com



Given F X X 2 4x 5 A Express F In Standard Form B Find The Vertex And X And Y Intercepts Of F C Sketch A Graph Of F D Find



1



1 2 The Graphs Of Quadratic Equations



Solution Graph F X X 2 4x 3 Labeling The Y Intercept Vertex And Axis Of Symmetry



Content Transformations Of The Parabola



How Do You Graph Quadratic Functions Y X 2 4x 7 Socratic



A Sketch The Graph Of The Function Y X 2 4x B Find Its Vertex Y Intercept And X Intercepts Study Com



13 Convert Y X2 4x 1 Into Vertex Form Also Chegg Com



What S Your Question Pricing Log Insign Up Algebra 1 Answer 0 Watching 65 Views 10 Nov 19 Sketch The Graph Of The Function Y X 2 4x The Vertex Is The Y Intercept Is The X Intercepts Are Given The Quadratic Function F X X 2 2x 12 The X



Www Lcps Org Cms Lib Va Centricity Domain Graphing quadratic key Pdf



Consider The Quadratic Function Y X 2 4x 1 Chegg Com



Solution Solve By Vertex Form Y X 2 6x 12 Y 4x 2 24x 11



Answered A Quadratic Function F Is Given F X Bartleby



Http Www Tatecountyschools Org Userfiles 157 Classes 850 A3 review for test 3a Pdf Id



Http Www Houstonisd Org Cms Lib2 Tx Centricity Domain Notes Filled Graphsparabolaquadratics Pdf



5 Write The Equation Of The Parabola In Vertex Form Chegg Com



What Is The Vertex Of Y X 2 4x 1 Socratic



Graphing Quadratic Functions



Transform Quadratic Function See How To Solve It At Qanda



How Do You Write F X X 2 4x In Vertex Form Socratic



1



How To Find Focus Directrix And Vertex Of Parabola



Http Www Midwayisd Org Cms Lib Tx Centricity Domain 164 Preap alg ii 4 7b Pdf



The Distance Between The Vertex Of The Parabola Y X 2 4x



Why Is It In Vertex Form Of Quadratic Function Y A X H 2 K Getting Value Of H Is Opposite To Its Value Quora



Warm Up Find The Vertex The Roots Or The Y Intercept Of The Following Forms 1 F X X 4 F X 2 X 3 X 4 3 F X X 2 2x 15 Answers Ppt Download



Parabolas



25 The Graph Ofa Quadratic Fu See How To Solve It At Qanda



How To Find Quadratic Line Of Symmetry



8 5 Graphing Quadratic Equations Ase Algebra For Adult Education Openstax Cnx



Http Pshs Psd2 Org Documents Lnorco Pdf



Graph The Parabola And Give The Coordinates Of The Chegg Com



Http Www Manhassetschools Org Cms Lib8 Ny Centricity Domain 710 Group work 59 63 solutions Pdf



Solved Select All Equations Whose Graphs Have A Vertex With The X Coordinate 2 Y X 2 X 4 B Y X 2 X 2 C Y X 1 X 3 D Y X X 4 E Course Hero



Example 6 Write A Quadratic Function In Vertex



Y X 2 4x 5 Novocom Top



Vertex Form Vertex Form Vertex Form Is Another



What Is The Vertex Of Parabola Y X2 4x 1 0 Gauthmath



Unique Quadratic Equation In The Form Y Ax 2 Bx C



Step To Draw Y X 2 4x 1and Find Solution To Quadratic Equation Y X 2 5x 4 Youtube



Solution Write Each Function In Vertex Form Sketch The Graph Of The Function And Label Its Vertex 33 Y X2 4x 7 34 Y X2 4x 1 35 Y 3x2 18x 36 Y 1 2x2 5x



Ppt 3 7 Warm Up Powerpoint Presentation Free Download Id



Vertex Form Of Quadratic Equation Mathbitsnotebook Ccss Math



Solution Given The Quadratic Equation Y 2x 2 4x 1 Find The Coordinates Of The Vertex



2



Vertex Axis Of Symmetry Of A Parabola Video Khan Academy



What Are The Coordinates Of The Vertex For F X X 4x 10 Quora



Activity 1 A Directions Trans See How To Solve It At Qanda



Y Classzone



Solution Find The Coordinates Of The Vertex Of The Parabola

